nedostaje 6. strana uputstva

Dobio sam pismo 14. maja medjutim nedostaje mi strana iza “general foto requirements” (objasnjenje za fotografiju). Da li neko moze da mi posalje tu stranu? Odnosno da mi kaze da li ima nesto bitno na njoj. Sobzirom da jos nisam poslao, da li kasnim?

Hvala unapred

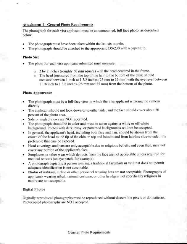
Evo strane Attachment 1 -General Photo Requirements

Puno ti hvala, ali ja imam 2 primerka te strane, znaci fali mi, prethodna ili sledeca. Na mojoj prethodnoj u zaglavlju pise step 4 , zatim imam 2 te strane koju si mi poslao, pa moja sledeca pocinje tekstom “the U.S. Department of state to the address on the receipt form.”…
Znaci tekst se nastavlja sa prethodne strane koju ja nemam, ali neznam koja je.
Kad si bio tako ljubazan, molim te posalji mi tu.

Onda ti fali ova strana. Nista bitno za slanje nazad.

Hvala ti za stranicu

@xeg:
A da uzmem ja ove tvoje dve poruke i da ih kopiram u onu temu gde su primeri? Kad već imamo primere popunjenih formulara, što ne bismo stavili i propratnu dokumentaciju… :smiley:

Ja ako vidim negde da je još neko nešto skenirao, prebaciću isto tamo? Valja? :slight_smile:

Skenirali smo mi sve to pa ako nekome treba…
Ako mislis da bi bilo od koristi mogu ja sve da skaliram i pustim, nesto kao:
“Sta sadrzi prva koverta”

Koliko je to veliko neskalirano? (Mislim da bi bilo bolje da mi posaljes to takvo, pa da ja stavim lepo to u folder, pa da samo linkujemo. Onda mogu i u originalu…) :wink:

@srdjevic:
napravio sam PDF “Sadrzaj prve koverte” i skalirao ga na 2.5MB. PM me mail na koji da ti posaljem da bi mogao da ga postavis tamo gde treba.

16 slika zajedno ~12MB

“Cena? Sitnica…” :slight_smile:

Kako ti je najlakše, hoćemo preko mejla?

Dogovoreno!

Moze;)

Kompletna prva koverta okačena je u ovoj temi.

Puno hvala Hedu što je obezbedio sadržaj. :smiley:

E ovo je 2. put sto se vec smatra za namerno:eek:
Nije H-E-D nego X-E-G
Cudno pisu rec V-O-D-A:p

aahahahahahaha, znači jesam pogrešio! :smiley:

Valjda navikoh da ljudi koriste latinicu za ćirilicu, pa sam pretpostavio da si “glava”, al’ ćirilična… Nisam uspeo da nađem nikakvu asocijaciju na “xeg”, pa sam, logično, pretpostavio da je hed (xeg). :o